https://www.idblanter.com/search/label/Template
https://www.idblanter.com
BLANTERORBITv101

View 21 Multiplying Monomials By Polynomials Examples

Friday, June 17, 2022

Your Multiplying Monomials By Polynomials Examples pix are ready in this web. Multiplying Monomials By Polynomials Examples are a theme that is being searched for and liked by netizens now. You can Save the Multiplying Monomials By Polynomials Examples here. Get all royalty-free images.

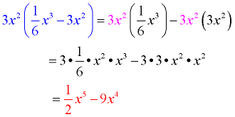
14 - Multiply a Polynomial by a Monomial, Part 1 (Multiplying Polynomials Examples) - Multiplying Monomials By Polynomials Examples

Get more lessons like this at http://www.MathTutorDVD.com. In this lesson, you will learn how to multiply polynomials in algebra.

We Have got 11 pix about Multiplying Monomials By Polynomials Examples images, photos, pictures, backgrounds, and more. In such page, we additionally have number of images out there. Such as png, jpg, animated gifs, pic art, symbol, blackandwhite, images, etc. If you're searching for Multiplying Monomials By Polynomials Examples topic, you have visit the ideal blog. Our site always gives you hints for seeing the highest quality pix content, please kindly hunt and locate more enlightening articles and images that fit your interests.

wallpapers Multiplying Monomials By Polynomials Examples math libretexts
  • 5 4 Multiplying Polynomials Mathematics ... | 335x164 px
  • wallpapers Multiplying Monomials By Polynomials Examples youtube
  • 13 Multiplying Polynomials By Monomials ... | 1280x720 px
  • picture Multiplying Monomials By Polynomials Examples khan academy
  • Multiply Monomials By Polynomials Area ... | 480x360 px
  • photo Multiplying Monomials By Polynomials Examples math libretexts
  • 5 4 Multiplying Polynomials Mathematics ... | 302x175 px
  • images Multiplying Monomials By Polynomials Examples math drills
  • Multiplying Monomials And Polynomials With ... | 500x647 px
  • picture Multiplying Monomials By Polynomials Examples khan academy
  • Multiply Monomials By Polynomials Area ... | 480x360 px
  • pix Multiplying Monomials By Polynomials Examples math aids
  • Pre Algebra Worksheets Monomials And ... | 638x825 px
  • pix Multiplying Monomials By Polynomials Examples slideplayer
  • 4 5 Multiplying Polynomials By ... | 960x720 px
  • pic Multiplying Monomials By Polynomials Examples youtube
  • Multiplying Monomials And Polynomials Simplifying ... | 1280x720 px
  • photo Multiplying Monomials By Polynomials Examples pinterest
  • 26 Multiplying Polynomials Ideas Polynomials ... | 236x305 px
  • pics Multiplying Monomials By Polynomials Examples youtube
  • Multiplying Monomials And Polynomials Youtube ... | 1280x720 px
  • pic Multiplying Monomials By Polynomials Examples youtube
  • Multiplying Monomials And Polynomials Youtube ... | 1280x720 px
  • pic Multiplying Monomials By Polynomials Examples youtube
  • Multiplying Monomials And Polynomials Simplifying ... | 1280x720 px
  • photo Multiplying Monomials By Polynomials Examples cuemath
  • Multiplying Monomial Rules Method And ... | 476x291 px
  • images Multiplying Monomials By Polynomials Examples youtube
  • 13 Multiplying Polynomials By Monomials ... | 1280x720 px
  • images Multiplying Monomials By Polynomials Examples math warehouse
  • Multiply Polynomial By Monomial Examples ... | 353x199 px
  • images Multiplying Monomials By Polynomials Examples mathbitsnotebook
  • Multiply Monomials Mathbitsnotebook A1 Ccss ... | 330x165 px
  • photo Multiplying Monomials By Polynomials Examples math warehouse
  • Multiplying Monomials With Polynomials Worksheet ... | 206x177 px
  • images Multiplying Monomials By Polynomials Examples owlcation
  • Multiply Polynomials With Examples Foil ... | 1200x900 px
  • wallpapers Multiplying Monomials By Polynomials Examples mathbitsnotebook
  • Multiply Monomials Mathbitsnotebook A1 Ccss ... | 330x165 px
  • images Multiplying Monomials By Polynomials Examples onlinemath4all
  • Multiplying A Polynomial By A ... | 658x347 px
  • pic Multiplying Monomials By Polynomials Examples owlcation
  • Multiply Polynomials With Examples Foil ... | 1200x900 px
  • pix Multiplying Monomials By Polynomials Examples math libretexts
  • 5 4 Multiplying Polynomials Mathematics ... | 302x175 px
  • picture Multiplying Monomials By Polynomials Examples pinterest
  • 26 Multiplying Polynomials Ideas Polynomials ... | 236x305 px
  • pix Multiplying Monomials By Polynomials Examples slideplayer
  • 4 5 Multiplying Polynomials By ... | 960x720 px
  • This site is an open community for users to share their favorite pic on the internet, all picture or pictures in this web are for personal picture use only, it is stricly prohibited to use this pics for commercial purposes, if you are the writer and find this pics is shared without your permission, please kindly raise a DMCA report to Us.

    If you find this site serviceableness, please support us by sharing this posts to your preference social media accounts like Facebook, Instagram and so on or you can also Save this blog page with the title Multiplying Monomials By Polynomials Examples by using Ctrl + D for gadgets a laptop with a Windows operating system or Command + D for laptops with an Apple operating system. If you use a smartphone, you can also use the drawer menu of the browser you are using. Whether it's a Windows, Mac, iOS or Android operating system, you will still be able to bookmark this site.